你们好,尊敬的交易员。
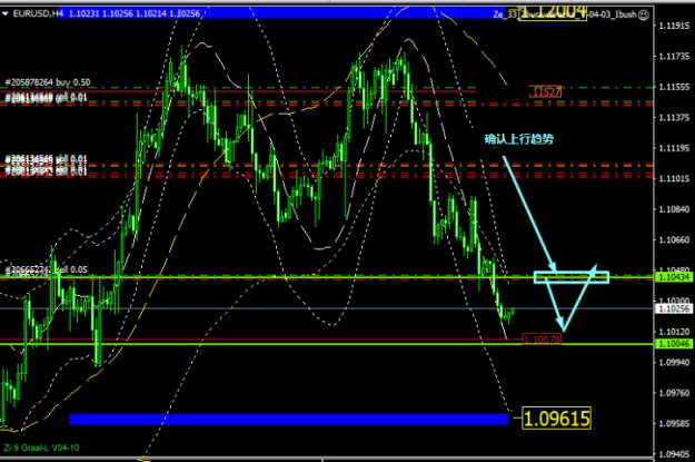
我注意到这是欧元/美元货币对从周一至周四停滞的第三周。周四,它改变了趋势,并在周五获得了动力。一方面,重复运动是一件好事,使我们能够获利。另一方面,欧元/美元没有运行, 它真的静止不动。但是,在这种情况下,赚钱的点就失去了。目前,水平还没有太大变化,唯一的区别是五个点。在h4上,上升趋势将在1.1060水平确认,而价格将从1.0980水平反弹。两个水平都会限制价格。上限为1.1060。确认上升趋势后,将会出现反弹。价格预计会出现曲折下跌,然后回升。较低的水平是1.0980。我也期望反弹,之后价格可能会上涨。当价格达到上层水平时,我们应该监视价格是否会达到1.1060。如果没有,价格很可能会再次创出新高。
然后我将跟随h1,它将给我们显示什么以及何时发出上行信号。目前,它完全处于下行。

周三的盘中水平。
上限水平是1.1024。
下限水平是1.1007。
今天,我们收窄了范围稍微削弱了盘中水平的强度。因此,如果我们跌破它,我们也可以跌破后上升。可以说,我们不应期望他们提供太多支持。

盘中交易。
在一天之内,我预计价格会下降,然后上升向1.1060靠近。我正在等待货币对完成下行趋势并开始上行,但我不会买入,现在还为时过早,价格可能会再次下跌。因此,现在不是买入的时候。
尽管在金融市场进行交易会有很高的风险,但是如果您采用正确的方法,它仍然可以产生额外的收入。 通过选择可靠的经纪商,例如InstaForex,您可以进入国际金融市场,并为实现财政独立开辟道路。 您可以在这里注册。